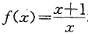
函数在[1,2]上符合拉格朗日定理条件的ζ值为:

作者: tihaiku 人气: - 评论: 0
问题 函数在[1,2]上符合拉格朗日定理条件的ζ值为:
选项
答案 A
解析 提示:验证函数满足拉格朗日定理的条件,利用它的结论求出ζ值。f(x)在[1,2]上连 续,在(1,2)可导。利用拉格朗日中值定理,

猜你喜欢

发表评论
更多 网友评论0 条评论)
暂无评论

Copyright © 2012-2014 恰考网 Inc. 保留所有权利。 Powered by tikuer.com

页面耗时0.0636秒, 内存占用1.03 MB, Cache:redis,访问数据库15次