椭圆x2/a2+y2/b2=1(a>b>0)绕x轴旋转得到的旋转体体积V1与绕y轴旋转得到的旋转体体积V2之间的关系为: A.V1>V2 B.V1﹤V2...

作者: tihaiku 人气: - 评论: 0
问题 椭圆x2/a2+y2/b2=1(a>b>0)绕x轴旋转得到的旋转体体积V1与绕y轴旋转得到的旋转体体积V2之间的关系为: A.V1>V2 B.V1﹤V2 C.V1=V2 D.V1=3V2
选项
答案 B
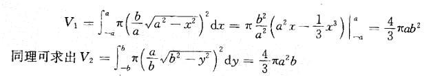
解析 提示:画出椭圆,分别计算该图形绕x轴、y轴旋转体的体积,通过计算V1=(4/3)ab2 ,V2 =(4/3)a2b,再比较大小。计算如下:

相关内容:椭圆,旋转体,体积,与绕,关系

猜你喜欢

发表评论
更多 网友评论0 条评论)
暂无评论

Copyright © 2012-2014 恰考网 Inc. 保留所有权利。 Powered by tikuer.com

页面耗时0.0437秒, 内存占用1.04 MB, Cache:redis,访问数据库20次