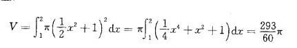
由曲线y=x2/2和直线x=1,x=2,y=-1围成的图形,绕直线y=-1旋转所得旋转体的体积为: A.(293/60)π B.π/60 C. 4π2 ...

作者: tihaiku 人气: - 评论: 0
问题 由曲线y=x2/2和直线x=1,x=2,y=-1围成的图形,绕直线y=-1旋转所得旋转体的体积为: A.(293/60)π B.π/60 C. 4π2 D. 5π
选项
答案 A
解析 提示:画出平面图形,列出绕直线y=-1旋转的体积表达式,注意旋转体的旋转半径为x2/2- (-1)。计算如下:

相关内容:曲线,直线,图形,所得,旋转体,体积

猜你喜欢

发表评论
更多 网友评论0 条评论)
暂无评论

Copyright © 2012-2014 恰考网 Inc. 保留所有权利。 Powered by tikuer.com

页面耗时0.0307秒, 内存占用1.04 MB, Cache:redis,访问数据库19次