曲面z=1-x2-y2在点(1/2,1/2,1/2)处的切平面方程是: A.x+y+z-3/2=0 B.x-y-z+3/2=0 C.x-y+z-...

作者: tihaiku 人气: - 评论: 0
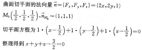
问题 曲面z=1-x2-y2在点(1/2,1/2,1/2)处的切平面方程是: A.x+y+z-3/2=0 B.x-y-z+3/2=0 C.x-y+z-3/2=0 D.x-y+z+3/2=0
选项
答案 A
解析 提示:F(x,y,z)=x2+y2+z-1

相关内容:曲面,1-x2-y2,在点,平面,方程,A.x+y+z-3,B.x-y-z+3,C.x-y+z-...

猜你喜欢

发表评论
更多 网友评论0 条评论)
暂无评论

Copyright © 2012-2014 恰考网 Inc. 保留所有权利。 Powered by tikuer.com

页面耗时0.0622秒, 内存占用1.04 MB, Cache:redis,访问数据库18次