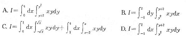
D是由y2=x及y=x-1所围成的区域,则化为二次积分后的结果为:

作者: tihaiku 人气: - 评论: 0
问题 D是由y2=x及y=x-1所围成的区域,则化为二次积分后的结果为:
选项
答案 B
解析 提示:画出积分区域D的图形,求出交点坐标(4,2) ,(1,-1),再按先x后y的积分顺序化为二次积分。

猜你喜欢

发表评论
更多 网友评论0 条评论)
暂无评论

Copyright © 2012-2014 恰考网 Inc. 保留所有权利。 Powered by tikuer.com

页面耗时0.0457秒, 内存占用1.04 MB, Cache:redis,访问数据库20次