设L是从点(0,0)沿:y=1- x-1 至点(2,0)的折线段,则曲线积分xdy等于: A. 0 B. -1 C. 2 D. -2

作者: tihaiku 人气: - 评论: 0
问题 设L是从点(0,0)沿:y=1- x-1 至点(2,0)的折线段,则曲线积分xdy等于: A. 0 B. -1 C. 2 D. -2
选项
答案 D
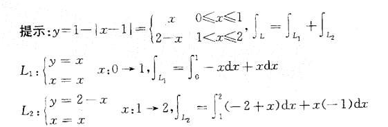
解析

相关内容:至点,线段,曲线,积分

猜你喜欢

发表评论
更多 网友评论0 条评论)
暂无评论

Copyright © 2012-2014 恰考网 Inc. 保留所有权利。 Powered by tikuer.com

页面耗时0.0327秒, 内存占用1.04 MB, Cache:redis,访问数据库19次