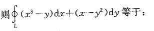
L 是区域D:x2+y≤-2x 的正向周界, A. 2π B. 0 C.(3/2)π D. -2π

作者: tihaiku 人气: - 评论: 0
问题 L 是区域D:x2+y≤-2x 的正向周界, A. 2π B. 0 C.(3/2)π D. -2π
选项
答案 A
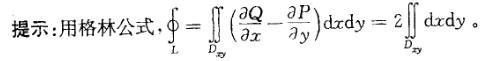
解析

猜你喜欢

发表评论
更多 网友评论0 条评论)
暂无评论

Copyright © 2012-2014 恰考网 Inc. 保留所有权利。 Powered by tikuer.com

页面耗时0.0372秒, 内存占用1.03 MB, Cache:redis,访问数据库19次