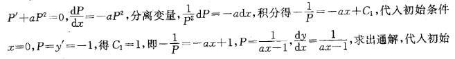
微分方程y''+ay'2=0满足条件y x=0=0,y' x=0=-1的特解是:

作者: tihaiku 人气: - 评论: 0
问题 微分方程y''+ay'2=0满足条件y x=0=0,y' x=0=-1的特解是:
选项
答案 A
解析 提示:本题为可降阶的高阶微分方程,按不显含变量x计算。设y'= P,y''=p',方程化为 条件,求出特解。

相关内容:条件,特解

猜你喜欢

发表评论
更多 网友评论0 条评论)
暂无评论

Copyright © 2012-2014 恰考网 Inc. 保留所有权利。 Powered by tikuer.com

页面耗时0.0447秒, 内存占用1.04 MB, Cache:redis,访问数据库20次