微分方程y''=(y')2的通解是: A. lnx+c B. ln(x+c) C. c2+ln x+c1 D. c2-lnlx+c1 (以上...

作者: tihaiku 人气: - 评论: 0
问题 微分方程y''=(y')2的通解是: A. lnx+c B. ln(x+c) C. c2+ln x+c1 D. c2-lnlx+c1 (以上各式中,c1、c2为任意常数)
选项
答案 D
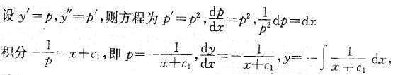
解析 提示:此题为可降阶的高阶微分方程,按方程不显含变量y计算。 y=c2-lnlx+c1

猜你喜欢

发表评论
更多 网友评论0 条评论)
暂无评论

Copyright © 2012-2014 恰考网 Inc. 保留所有权利。 Powered by tikuer.com

页面耗时0.0308秒, 内存占用1.03 MB, Cache:redis,访问数据库19次