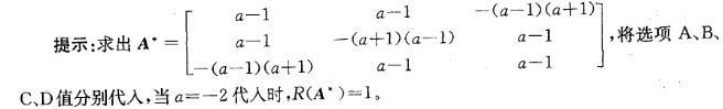
已知A的伴随矩阵的秩为1,则a=
A.-2 B.-1 C. 1 D.2
相关内容:矩阵
- 设λ=1/2是非奇异矩阵A的特征值,则矩阵(2A3)-1有一个特征值为:
A. 3 B.4 C.1/4 D. 1
- 设A、B均为n阶非零矩阵,且AB=0,则R(A),R(B)满足:
A.必有一个等于0 B.都小于n
C. 一个小于n,一个等于n D.都等于n
- 其中ai≠0,bi≠0(i=1,2,...,n),则矩阵A的秩等于:
A.n B.0 C. 1 D.2
- 设A是三阶矩阵,a1(1,0,1)T,a2(1,1,0)T是A的属于特征值1的特征向量,a3(0,1,2)T是A的属于特征值-1的特征向量,则:
A.a...
- 设A,B是n阶矩阵,且B≠0,满足AB=0,则以下选项中错误的是:
A.r(A)+r(B)≤n B. A =0 或 B =0 C. 0≤r(A)
- 设λ1,λ2是矩阵A的2个不同的特征值,ξ,η是A的分别属于λ1,λ2的特征向量,则以下选项中正确的是:
A. 对任意的k1≠0和k2≠0,k1ξ+k2...
- 设A是3阶实对称矩阵,P是3阶可逆矩阵,B=P-1AP,已知a是A的属于特征值λ的特征向量,则B的属于特征值A的特征向量是:
A. Pa B. P-1a...
- 设A是mxn的非零矩阵,B是nxl非零矩阵,满足AB=0,以下选项中不一定成立的是:
A. A的行向量组线性相关 B. A的列向量组线性相关
C.B的...
- 设A是3阶矩阵,P=(a1,a2,a3)是3阶可逆矩阵,
若矩阵Q=(a1,a2,a3),则Q-1AQ=
- 已知A的伴随矩阵的秩为1,则a=
A.-2 B.-1 C. 1 D.2