设A为三阶方阵,且 A =3, A.9/8 B.9/2 C.9/64 D.3/2

作者: tihaiku 人气: - 评论: 0
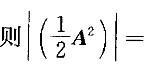
问题 设A为三阶方阵,且 A =3, A.9/8 B.9/2 C.9/64 D.3/2
选项
答案 A
解析 提示:A2为三阶方阵,数乘矩阵时,用这个数乘矩阵的每一个元素。矩阵的行列式,按行

猜你喜欢

发表评论
更多 网友评论0 条评论)
暂无评论

Copyright © 2012-2014 恰考网 Inc. 保留所有权利。 Powered by tikuer.com

页面耗时0.0458秒, 内存占用1.03 MB, Cache:redis,访问数据库20次