某人从远方来,他乘火车、轮船、汽车、飞机来的概率分别是0. 3、0. 2、0. 1、0. 4。如果他乘火车、轮船、汽车来的话,迟到的概率分别为1/4、1/...

作者: tihaiku 人气: - 评论: 0
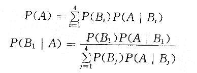
问题 某人从远方来,他乘火车、轮船、汽车、飞机来的概率分别是0. 3、0. 2、0. 1、0. 4。如果他乘火车、轮船、汽车来的话,迟到的概率分别为1/4、1/3、1/12,而乘飞机则不会迟到。则他迟到的概率是多少?如果他迟到了,则乘火车来的概率是多少? A. 0. 10,0. 4 B. 0.15,0. 5 C. 0. 20,0.6 D. 0. 25,0.7
选项
答案 B
解析 提示:设A表示“迟到”,B1、B2、B3、B4分别表示乘“火车”、“轮船”、“汽车”、“飞机”。 [关键在于能判断出1/4、1/3、1/12是一组条件概率P(A Bi) ,P(A B4) =0]

相关内容:方来,他乘,火车,轮船,汽车,飞机,概率

猜你喜欢

发表评论
更多 网友评论0 条评论)
暂无评论

Copyright © 2012-2014 恰考网 Inc. 保留所有权利。 Powered by tikuer.com

页面耗时0.0350秒, 内存占用1.04 MB, Cache:redis,访问数据库18次