某单原子分子理想气体进行卡诺循环时,高温热源温度为227°C,低温热源温度为127°C。则该循环的效率为:A.56% B.44% C.80% D.20%

作者: tihaiku 人气: - 评论: 0
问题 某单原子分子理想气体进行卡诺循环时,高温热源温度为227°C,低温热源温度为127°C。则该循环的效率为:
选项 A.56% B.44% C.80% D.20%
答案 B
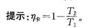
解析

相关内容:分子,理想,气体,卡诺,循环,高温,热源,温度,低温,效率

猜你喜欢

发表评论
更多 网友评论0 条评论)
暂无评论

Copyright © 2012-2014 恰考网 Inc. 保留所有权利。 Powered by tikuer.com

页面耗时0.0399秒, 内存占用1.04 MB, Cache:redis,访问数据库19次