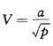
如果一定量理想气体的体积V和压强p依照的规律变化,式中a 为常量,当气体从V1膨胀到V2时,温度T1和T2的关系为: A. T1>T2B. T1=T2...

作者: tihaiku 人气: - 评论: 0
问题 如果一定量理想气体的体积V和压强p依照的规律变化,式中a 为常量,当气体从V1膨胀到V2时,温度T1和T2的关系为: A. T1>T2B. T1=T2 C. T12 D.无法确定
选项
答案 A
解析 提示:V1膨胀到V2即V12,由及p=nkT知T1>T2。

相关内容:一定量,理想,气体,体积,压强,规律,变化,式中,常量,温度,关系

猜你喜欢

发表评论
更多 网友评论0 条评论)
暂无评论

Copyright © 2012-2014 恰考网 Inc. 保留所有权利。 Powered by tikuer.com

页面耗时0.0399秒, 内存占用1.04 MB, Cache:redis,访问数据库19次