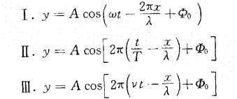
一平面简谐波沿x轴正向传播,已知波长λ,频率v,角频率w,周期T,初相Φ0,则下列表示波动方程的式子中,哪几个是正确的? A.ⅠB.Ⅰ、ⅡC.Ⅱ、Ⅲ...

作者: tihaiku 人气: - 评论: 0
问题 一平面简谐波沿x轴正向传播,已知波长λ,频率v,角频率w,周期T,初相Φ0,则下列表示波动方程的式子中,哪几个是正确的? A.ⅠB.Ⅰ、ⅡC.Ⅱ、ⅢD.Ⅰ、Ⅱ、Ⅲ
选项
答案 D
解析 提示:μ=λv,w=2πv.

相关内容:平面,谐波,传播,波长,频率,周期,初相,波动,方程,式子

猜你喜欢

发表评论
更多 网友评论0 条评论)
暂无评论

Copyright © 2012-2014 恰考网 Inc. 保留所有权利。 Powered by tikuer.com

页面耗时0.0389秒, 内存占用1.04 MB, Cache:redis,访问数据库19次