两列相干的平面简谐波振幅都是4cm,两波源相距30cm,相位差为π,在两波源连线的中垂线上任意一点P,两列波叠加后合振幅为: A. 8cm B. 16c...

作者: tihaiku 人气: - 评论: 0
问题 两列相干的平面简谐波振幅都是4cm,两波源相距30cm,相位差为π,在两波源连线的中垂线上任意一点P,两列波叠加后合振幅为: A. 8cm B. 16cm C. 30cm D. 0
选项
答案 D
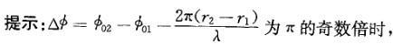
解析 合振幅最小,A = A1-A2 ,今波程差r2-r1=0。

猜你喜欢

发表评论
更多 网友评论0 条评论)
暂无评论

Copyright © 2012-2014 恰考网 Inc. 保留所有权利。 Powered by tikuer.com

页面耗时0.0379秒, 内存占用1.03 MB, Cache:redis,访问数据库19次