在双缝装置实验中,对于给定的入射单色光,当双缝间距增大时,则屏幕上干涉条纹的变化情况是: A.条纹变密并远离屏幕中心 B.条纹变密并靠近屏幕中心 C....

作者: tihaiku 人气: - 评论: 0
问题 在双缝装置实验中,对于给定的入射单色光,当双缝间距增大时,则屏幕上干涉条纹的变化情况是: A.条纹变密并远离屏幕中心 B.条纹变密并靠近屏幕中心 C.条纹变宽并远离屏幕中心 D.条纹变宽并靠近屏幕中心
选项
答案 B
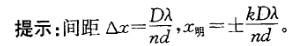
解析

相关内容:双缝,装置,单色光,当双,间距,条纹,变化,情况,变密,屏幕,中心

猜你喜欢

发表评论
更多 网友评论0 条评论)
暂无评论

Copyright © 2012-2014 恰考网 Inc. 保留所有权利。 Powered by tikuer.com

页面耗时0.0428秒, 内存占用1.04 MB, Cache:redis,访问数据库19次