在差异充气腐蚀中,氧气浓度大和浓度小的部位的名称分别是: A.阳极和阴极 B.阴极和阳极 C.正极和负极 D.负极和正极

作者: tihaiku 人气: - 评论: 0
问题 在差异充气腐蚀中,氧气浓度大和浓度小的部位的名称分别是: A.阳极和阴极 B.阴极和阳极 C.正极和负极 D.负极和正极
选项
答案 B
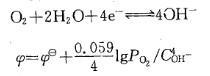
解析 提示:由反应 由氧的浓度确定φ值的高低及电极名称。

相关内容:差异,充气,氧气,浓度,大和,部位,名称,阳极,阴极,正极,负极

猜你喜欢

发表评论
更多 网友评论0 条评论)
暂无评论

Copyright © 2012-2014 恰考网 Inc. 保留所有权利。 Powered by tikuer.com

页面耗时0.0318秒, 内存占用1.04 MB, Cache:redis,访问数据库20次