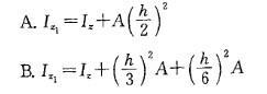
若已知如图所示三角形的面积A和惯性矩Iz,则下列结论中正确的是:

作者: tihaiku 人气: - 评论: 0
问题 若已知如图所示三角形的面积A和惯性矩Iz,则下列结论中正确的是:
选项
答案 D
解析

相关内容:如图,三角,面积,惯性,结论

猜你喜欢

发表评论
更多 网友评论0 条评论)
暂无评论

Copyright © 2012-2014 恰考网 Inc. 保留所有权利。 Powered by tikuer.com

页面耗时0.0308秒, 内存占用1.04 MB, Cache:redis,访问数据库19次