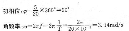
题图中给出了某正弦电压的波形图,由图可知,该正弦量的: A.有效值为10V B.角频率为314rad/s C.初相位为60° D.周期为(20-5)ms

作者: tihaiku 人气: - 评论: 0
问题 题图中给出了某正弦电压的波形图,由图可知,该正弦量的: A.有效值为10V B.角频率为314rad/s C.初相位为60° D.周期为(20-5)ms
选项
答案 B
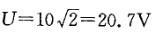
解析 提示:由图观察交流电的三要素。 最大值:Um = 10V,有效值

相关内容:图中,正弦,电压,有效值,314rad,相位,周期

猜你喜欢

发表评论
更多 网友评论0 条评论)
暂无评论

Copyright © 2012-2014 恰考网 Inc. 保留所有权利。 Powered by tikuer.com

页面耗时0.0646秒, 内存占用1.04 MB, Cache:redis,访问数据库19次