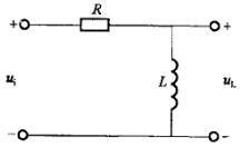
当上题图所示电路的激励电压时,电感元件上的响应电压uL为:

作者: tihaiku 人气: - 评论: 0
问题 当上题图所示电路的激励电压时,电感元件上的响应电压uL为:
选项
答案 C
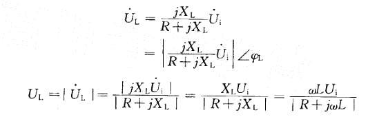
解析 提示:该题可以用复数符号法分析,画出电路的复电路模型如解图所示,计算如下

猜你喜欢

发表评论
更多 网友评论0 条评论)
暂无评论

Copyright © 2012-2014 恰考网 Inc. 保留所有权利。 Powered by tikuer.com

页面耗时0.0731秒, 内存占用1.04 MB, Cache:redis,访问数据库19次