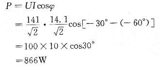
图示电路中,u=141sin(314t-30°)V,i=14.1sin(314t-60°)A,这个电路的有功功率P等于:W。 A. 500W B. 86...

作者: tihaiku 人气: - 评论: 0
问题 图示电路中,u=141sin(314t-30°)V,i=14.1sin(314t-60°)A,这个电路的有功功率P等于:W。 A. 500W B. 866W C. 1000W D. 1988W
选项
答案 B
解析 提示:根据交流电路中有功功率的计算公式

猜你喜欢

发表评论
更多 网友评论0 条评论)
暂无评论

Copyright © 2012-2014 恰考网 Inc. 保留所有权利。 Powered by tikuer.com

页面耗时0.0665秒, 内存占用1.04 MB, Cache:redis,访问数据库19次