题图所示电路中,R=1kΩ,C=1μF,U1=1V,电容无初始储能,如果开关S在t=0时刻闭合,则给出输出电压波形的是:

作者: tihaiku 人气: - 评论: 0
问题 题图所示电路中,R=1kΩ,C=1μF,U1=1V,电容无初始储能,如果开关S在t=0时刻闭合,则给出输出电压波形的是:
选项
答案 C
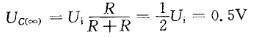
解析 提示:电容无初始储能,即。由换路定则可知UC(0-)=0。 UC(0+)=UC(0-)=0V 电容重新进入稳态,电容开路

相关内容:题图,电路,电容,初始,储能,开关,时刻,电压

猜你喜欢

发表评论
更多 网友评论0 条评论)
暂无评论

Copyright © 2012-2014 恰考网 Inc. 保留所有权利。 Powered by tikuer.com

页面耗时0.0331秒, 内存占用1.04 MB, Cache:redis,访问数据库20次