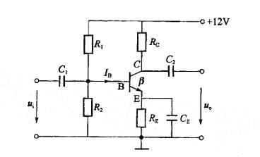
如图所电路中,R1=50kΩ,R2= 10kΩ,RE=1kΩ,RC= 5kΩ,晶体管的β=60,静态UBE=0.7V。静态基极电流IB等于( )mA。 ...

作者: tihaiku 人气: - 评论: 0
问题 如图所电路中,R1=50kΩ,R2= 10kΩ,RE=1kΩ,RC= 5kΩ,晶体管的β=60,静态UBE=0.7V。静态基极电流IB等于( )mA。 A. 0. 0152mA B. 0. 0213mA C. 0. 0286mA D. 0. 0328mA
选项
答案 B
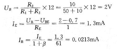
解析 提示:根据放大电路的直流通道分析,直流通道如解图所示。

猜你喜欢

发表评论
更多 网友评论0 条评论)
暂无评论

Copyright © 2012-2014 恰考网 Inc. 保留所有权利。 Powered by tikuer.com

页面耗时0.0295秒, 内存占用1.04 MB, Cache:redis,访问数据库19次