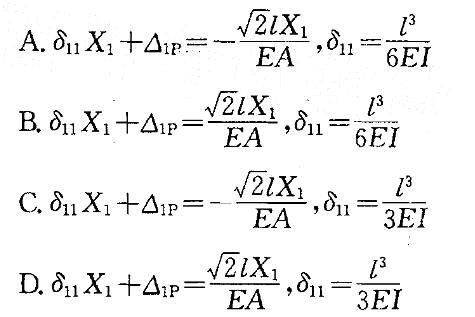
如图a)所示结构,若将链杆撤去,取图b)为力法基本体系,则力法方程及知分别为:

作者: tihaiku 人气: - 评论: 0
问题 如图a)所示结构,若将链杆撤去,取图b)为力法基本体系,则力法方程及知分别为:
选项
答案 C
解析 提示:力法方程等号右端应为负,并计算δ11。

相关内容:如图,结构,链杆,取图,力法,体系,方程

猜你喜欢

发表评论
更多 网友评论0 条评论)
暂无评论

Copyright © 2012-2014 恰考网 Inc. 保留所有权利。 Powered by tikuer.com

页面耗时0.0434秒, 内存占用1.04 MB, Cache:redis,访问数据库19次