北京某点位于东经116°28'、北纬39°54',则该点所在6°带的带号及中央子午线的经度分别为: A. 20、120° B. 20、117° C....

作者: tihaiku 人气: - 评论: 0
问题 北京某点位于东经116°28'、北纬39°54',则该点所在6°带的带号及中央子午线的经度分别为: A. 20、120° B. 20、117° C. 19、111° D. 19、117°
选项
答案 B
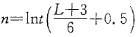
解析 提示:带号,中央子午线的经度L=6n-3。

相关内容:北京,某点,北纬,该点,所在,带号,中央,子午线,经度

猜你喜欢

发表评论
更多 网友评论0 条评论)
暂无评论

Copyright © 2012-2014 恰考网 Inc. 保留所有权利。 Powered by tikuer.com

页面耗时0.0315秒, 内存占用1.04 MB, Cache:redis,访问数据库19次