单自由度体系自由振动的振幅仅取决于体系的: A.质量及刚度 B.初位移及初速度 C.初位移、初速度及质量 D.初位移、初速度及自振频率

作者: tihaiku 人气: - 评论: 0
问题 单自由度体系自由振动的振幅仅取决于体系的: A.质量及刚度 B.初位移及初速度 C.初位移、初速度及质量 D.初位移、初速度及自振频率
选项
答案 D
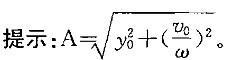
解析

相关内容:自由度,体系,振动,振幅,取决于,质量,刚度,位移,速度,自振,频率

猜你喜欢

发表评论
更多 网友评论0 条评论)
暂无评论

Copyright © 2012-2014 恰考网 Inc. 保留所有权利。 Powered by tikuer.com

页面耗时0.0286秒, 内存占用1.03 MB, Cache:redis,访问数据库13次