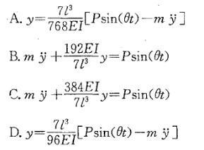
图示体系,质点的运动方程为:

作者: tihaiku 人气: - 评论: 0
问题 图示体系,质点的运动方程为:
选项
答案 A
解析 提示:求柔度系数。

猜你喜欢

发表评论
更多 网友评论0 条评论)
暂无评论

Copyright © 2012-2014 恰考网 Inc. 保留所有权利。 Powered by tikuer.com

页面耗时0.0406秒, 内存占用1.04 MB, Cache:redis,访问数据库19次