方程y′=p(x)y的通解是(  )。

作者: tihaiku 人气: - 评论: 0
问题 方程y′=p(x)y的通解是(  )。
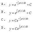
选项
答案 D
解析 对于一阶线性齐次微分方程y'+p(x)y=0,其通解为 本题中方程可写作y'-p(x)y=0,故对应的通解形式为
  • 上一篇:{图}
  • 下一篇:

猜你喜欢

发表评论
更多 网友评论0 条评论)
暂无评论

Copyright © 2012-2014 恰考网 Inc. 保留所有权利。 Powered by tikuer.com

页面耗时0.0621秒, 内存占用1.04 MB, Cache:redis,访问数据库19次