直流铁心线圈,当线圈匝数N增加一倍,则磁感应强度B将(  )。A.增大 B.减小 C.不变 D.不能确定

作者: tihaiku 人气: - 评论: 0
问题 直流铁心线圈,当线圈匝数N增加一倍,则磁感应强度B将(  )。
选项 A.增大 B.减小 C.不变 D.不能确定
答案 A
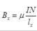
解析 由磁感应强度公式 可知,当匝数越多,磁感应强度越大。

猜你喜欢

发表评论
更多 网友评论0 条评论)
暂无评论

Copyright © 2012-2014 恰考网 Inc. 保留所有权利。 Powered by tikuer.com

页面耗时0.0456秒, 内存占用1.04 MB, Cache:redis,访问数据库20次