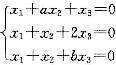
齐次线性方程组只有零解,则有( )。A a-b=1 B a=1且a=2 C a≠1且b≠2 D a≠1或b≠2

作者: tihaiku 人气: - 评论: 0
问题 齐次线性方程组只有零解,则有( )。
选项 A a-b=1 B a=1且a=2 C a≠1且b≠2 D a≠1或b≠2
答案 C
解析 方程组对应的矩阵,齐次线性方程组只有零解的充要条件是|A|≠0,即有a≠1且b≠2

相关内容:齐次,线性,方程组

猜你喜欢

发表评论
更多 网友评论0 条评论)
暂无评论

Copyright © 2012-2014 恰考网 Inc. 保留所有权利。 Powered by tikuer.com

页面耗时0.0285秒, 内存占用1.04 MB, Cache:redis,访问数据库19次