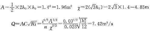
有一断面为等腰直角三角形的渠道,已知正常水深h0=1.4m,n=0.025,i=0.03,渠道的流量Q为( )。A 3.21m3/s B 7.42m3/...

作者: tihaiku 人气: - 评论: 0
问题 有一断面为等腰直角三角形的渠道,已知正常水深h0=1.4m,n=0.025,i=0.03,渠道的流量Q为( )。
选项 A 3.21m3/s B 7.42m3/s C 5.84m3/s D 6.61m3/s
答案 B
解析

相关内容:一断,直角,三角,渠道,水深,流量,3.21m3,7.42m3

猜你喜欢

发表评论
更多 网友评论0 条评论)
暂无评论

Copyright © 2012-2014 恰考网 Inc. 保留所有权利。 Powered by tikuer.com

页面耗时0.0371秒, 内存占用1.04 MB, Cache:redis,访问数据库19次