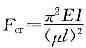
压杆的临界力的大小与( )。A 杆长无关 B 杆端约束无关 C 杆横截面形状无关 D 杆的弹性模量有关

作者: tihaiku 人气: - 评论: 0
问题 压杆的临界力的大小与( )。
选项 A 杆长无关 B 杆端约束无关 C 杆横截面形状无关 D 杆的弹性模量有关
答案 D
解析 与E有关

相关内容:压杆,大小,杆长,杆端,约束,杆横,截面,形状,弹性,模量,有关

猜你喜欢

发表评论
更多 网友评论0 条评论)
暂无评论

Copyright © 2012-2014 恰考网 Inc. 保留所有权利。 Powered by tikuer.com

页面耗时0.0268秒, 内存占用1.04 MB, Cache:redis,访问数据库19次