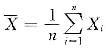
设X1,X2,…,Xn是来自总体X的样本,,s2分别是样本均值和样本方差,E(X)=μ,D(X)=σ2,则有( )。

作者: tihaiku 人气: - 评论: 0
问题 设X1,X2,…,Xn是来自总体X的样本,,s2分别是样本均值和样本方差,E(X)=μ,D(X)=σ2,则有( )。
选项
答案 B
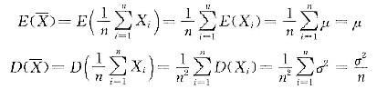
解析 ,经计算从而(B)正确而(A)不正确,而(C)、(D)需要总体X服从正态分布N(μ,σ2)才能成立

相关内容:总体,样本,均值,方差

猜你喜欢

发表评论
更多 网友评论0 条评论)
暂无评论

Copyright © 2012-2014 恰考网 Inc. 保留所有权利。 Powered by tikuer.com

页面耗时0.0402秒, 内存占用1.04 MB, Cache:redis,访问数据库20次