如图5所示的牛顿环实验装置中,用单色光垂直照射,当凸透镜垂直向上缓缓平移而远离平板玻璃时,则可以观察到这些环状干涉条纹( )。A 向中心收缩 B 向外扩...

作者: tihaiku 人气: - 评论: 0
问题 如图5所示的牛顿环实验装置中,用单色光垂直照射,当凸透镜垂直向上缓缓平移而远离平板玻璃时,则可以观察到这些环状干涉条纹( )。
选项 A 向中心收缩 B 向外扩张 C 向右平移 D 静止不动
答案 A
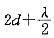
解析 反射光形成的牛顿环,在空气膜厚度为d时,则有明环的条件:=kλ,k=1,2,3…,暗环的条件:,k=1,2,3…。在平凸透镜和平板玻璃接触点处d=0,两反射光(透镜的凸面和平板玻璃的上表面)的额外光程差,形成一个暗斑。 按题意,平凸透镜向上平移,厚度d增加,中心处d≠0,则满足上述干涉条件的明(暗)环交替出现,那么原来小于d的那些明(暗)环就消失,当d增加时,明(暗)环级次增加,故牛顿环向中心收缩

相关内容:如图,牛顿,实验,单色光,凸透镜,平移,平板,玻璃,环状,条纹,中心

猜你喜欢

发表评论
更多 网友评论0 条评论)
暂无评论

Copyright © 2012-2014 恰考网 Inc. 保留所有权利。 Powered by tikuer.com

页面耗时0.0287秒, 内存占用1.04 MB, Cache:redis,访问数据库18次