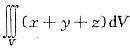
设空间区域V:x2+y2+z2≤R2,则=( )。A 0 B 1 C 2 D 3

作者: tihaiku 人气: - 评论: 0
问题 设空间区域V:x2+y2+z2≤R2,则=( )。
选项 A 0 B 1 C 2 D 3
答案 A
解析 由于V关于三个坐标面都对称,而被积函数关于一个变量为奇函数,因此积分为零

相关内容:空间,区域,x2+y2+z2

猜你喜欢

发表评论
更多 网友评论0 条评论)
暂无评论

Copyright © 2012-2014 恰考网 Inc. 保留所有权利。 Powered by tikuer.com

页面耗时0.0586秒, 内存占用1.04 MB, Cache:redis,访问数据库19次