已知D为x轴、y轴和抛物线y=1-x2所围成的在第一象限内的闭区域,则

作者: tihaiku 人气: - 评论: 0
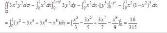
问题 已知D为x轴、y轴和抛物线y=1-x2所围成的在第一象限内的闭区域,则
选项
答案 C
解析 积分区域D形状如图所示。 计算得抛物线与x轴、y轴的交点分别为(1,0)、(0,1),从而D={(x,y)|0≤y≤1-x2,x∈[0,1]},则

猜你喜欢

发表评论
更多 网友评论0 条评论)
暂无评论

Copyright © 2012-2014 恰考网 Inc. 保留所有权利。 Powered by tikuer.com

页面耗时0.1059秒, 内存占用1.01 MB, Cache:redis,访问数据库18次