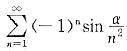
级数( )。A 发散 B 条件收敛 C 绝对收敛 D 收敛性与α的取值有关

作者: tihaiku 人气: - 评论: 0
问题 级数( )。
选项 A 发散 B 条件收敛 C 绝对收敛 D 收敛性与α的取值有关
答案 C
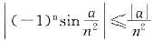
解析 由于,而p-级数收敛,从而原级数绝对收敛

相关内容:级数,条件,收敛,有关

猜你喜欢

发表评论
更多 网友评论0 条评论)
暂无评论

Copyright © 2012-2014 恰考网 Inc. 保留所有权利。 Powered by tikuer.com

页面耗时0.0275秒, 内存占用1.04 MB, Cache:redis,访问数据库17次