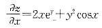
设x=x2ey+y2sinx,则=( )。A 2xey-y2cosx B x2ey+2ysinx C 2xey+y2cosx D 2xey+2ysinx

作者: tihaiku 人气: - 评论: 0
问题 设x=x2ey+y2sinx,则=( )。
选项 A 2xey-y2cosx B x2ey+2ysinx C 2xey+y2cosx D 2xey+2ysinx
答案 C
解析 对x求偏导数,将y看作常数,有

猜你喜欢

发表评论
更多 网友评论0 条评论)
暂无评论

Copyright © 2012-2014 恰考网 Inc. 保留所有权利。 Powered by tikuer.com

页面耗时0.0289秒, 内存占用1.01 MB, Cache:redis,访问数据库18次