不定积分=( )。A ex(x2+2x-2)+C B ex(x2+2x+2)+C C ex(x2-2x+2)+C D ex(x2-2x-2)+C

作者: tihaiku 人气: - 评论: 0
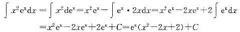
问题 不定积分=( )。
选项 A ex(x2+2x-2)+C B ex(x2+2x+2)+C C ex(x2-2x+2)+C D ex(x2-2x-2)+C
答案 C
解析 由分部积分法

猜你喜欢

发表评论
更多 网友评论0 条评论)
暂无评论

Copyright © 2012-2014 恰考网 Inc. 保留所有权利。 Powered by tikuer.com

页面耗时0.0381秒, 内存占用1.03 MB, Cache:redis,访问数据库19次