波长为λ的单色光垂直入射到一衍射光栅上,当光栅常数为(a+b)时,第一级衍射条纹对应的衍射角为φ,当换成光栅常数为 的光栅时,第一级衍射条纹...

作者: tihaiku 人气: - 评论: 0
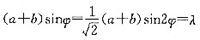
问题 波长为λ的单色光垂直入射到一衍射光栅上,当光栅常数为(a+b)时,第一级衍射条纹对应的衍射角为φ,当换成光栅常数为 的光栅时,第一级衍射条纹对应的衍射角为2φ,则λ/(a+b)为( )。
选项
答案 A
解析 根据光栅公式,

相关内容:单色光,光栅,常数,条纹

猜你喜欢

发表评论
更多 网友评论0 条评论)
暂无评论

Copyright © 2012-2014 恰考网 Inc. 保留所有权利。 Powered by tikuer.com

页面耗时0.0411秒, 内存占用1.04 MB, Cache:redis,访问数据库19次