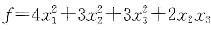
二次型用正交变换化成的标准型为( )

作者: tihaiku 人气: - 评论: 0
问题 二次型用正交变换化成的标准型为( )
选项
答案 B
解析 二次型对应矩阵,特征方程 特征值为λ1=2,λ2=λ3=4,故二次型f可经正交变换化为标准型

猜你喜欢

发表评论
更多 网友评论0 条评论)
暂无评论

Copyright © 2012-2014 恰考网 Inc. 保留所有权利。 Powered by tikuer.com

页面耗时0.0429秒, 内存占用1.01 MB, Cache:redis,访问数据库20次