下面提高压杆稳定性措施中正确的有( )。A、尽量增大压杆的长度 B、加强约束的刚性 C、采用高强度钢 D、减弱约束的刚性

作者: tihaiku 人气: - 评论: 0
问题 下面提高压杆稳定性措施中正确的有( )。
选项 A、尽量增大压杆的长度 B、加强约束的刚性 C、采用高强度钢 D、减弱约束的刚性
答案 B
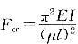
解析 加强约束的刚性,长度系数μ变小,由知Fcr变大,则稳定性增强

相关内容:下面,高压,稳定性,措施,压杆,长度,约束,刚性

猜你喜欢

发表评论
更多 网友评论0 条评论)
暂无评论

Copyright © 2012-2014 恰考网 Inc. 保留所有权利。 Powered by tikuer.com

页面耗时0.0288秒, 内存占用1.04 MB, Cache:redis,访问数据库17次