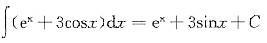
不定积分=( )。A、ex-3sinx+C B、ex+3sinx+C C、ex-3cosx+C D、ex+3cosx+C

作者: tihaiku 人气: - 评论: 0
问题 不定积分=( )。
选项 A、ex-3sinx+C B、ex+3sinx+C C、ex-3cosx+C D、ex+3cosx+C
答案 B
解析 由于

猜你喜欢

发表评论
更多 网友评论0 条评论)
暂无评论

Copyright © 2012-2014 恰考网 Inc. 保留所有权利。 Powered by tikuer.com

页面耗时0.0355秒, 内存占用1.03 MB, Cache:redis,访问数据库19次