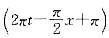
一平面简谐波波动表达式为,式中x,t分别以cm,s为单位,则x=4cm位置处的质元在t=1s时刻的振动速度v为( )。A、v=0 B、v=5cm·s-1...

作者: tihaiku 人气: - 评论: 0
问题 一平面简谐波波动表达式为,式中x,t分别以cm,s为单位,则x=4cm位置处的质元在t=1s时刻的振动速度v为( )。
选项 A、v=0 B、v=5cm·s-1 C、v=-5πcm·s-1 D、v=-10πcm·s-1
答案 A
解析 已知波动表达式,则,当时x=4cm,t=1s时,v=-50sinπ=0

相关内容:平面,谐波,波动,表达式,式中,为单位,位置,质元,时刻,振动,速度,s-1...

猜你喜欢

发表评论
更多 网友评论0 条评论)
暂无评论

Copyright © 2012-2014 恰考网 Inc. 保留所有权利。 Powered by tikuer.com

页面耗时0.0389秒, 内存占用1.04 MB, Cache:redis,访问数据库14次