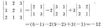
行列式=( )。A、7 B、-7 C、12 D、-12

作者: tihaiku 人气: - 评论: 0
问题 行列式=( )。
选项 A、7 B、-7 C、12 D、-12
答案 D
解析 将行列式按第一行展开

猜你喜欢

发表评论
更多 网友评论0 条评论)
暂无评论

Copyright © 2012-2014 恰考网 Inc. 保留所有权利。 Powered by tikuer.com

页面耗时0.0393秒, 内存占用1.01 MB, Cache:redis,访问数据库20次