管道流动见图15,管径d=150mm、喷嘴出口直径dD=50mm,各点高差h1=2m、h2=4m、h3=3m,不计水头损失,则C点压强为( )。A、68....

作者: tihaiku 人气: - 评论: 0
问题 管道流动见图15,管径d=150mm、喷嘴出口直径dD=50mm,各点高差h1=2m、h2=4m、h3=3m,不计水头损失,则C点压强为( )。
选项 A、68.1kPa B、-0.48kPa C、-20.1kPa D、14.5kPa
答案 C
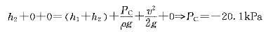
解析 设基准面O—O位于通过D点的水平面上,列水箱与位于D点的管道出口断面的伯努利方程得列水箱与通过C点的水平面的伯努利方程得:

相关内容:管道,流动,管径,喷嘴,出口,直径,高差,水头,损失,压强,68....

猜你喜欢

发表评论
更多 网友评论0 条评论)
暂无评论

Copyright © 2012-2014 恰考网 Inc. 保留所有权利。 Powered by tikuer.com

页面耗时0.0405秒, 内存占用1.04 MB, Cache:redis,访问数据库20次