下列不可压缩二维流动中,哪个满足连续方程?(  )

作者: tihaiku 人气: - 评论: 0
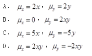
问题 下列不可压缩二维流动中,哪个满足连续方程?(  )
选项
答案 C
解析 对于不可压缩流体,流过同一管路上各个界面的流量保持不变,微观上为各个方向的速度分量之和为0,其微分形式连续性方程为: 将选项分别代入式中,只有C项满足连续方程。

猜你喜欢

发表评论
更多 网友评论0 条评论)
暂无评论

Copyright © 2012-2014 恰考网 Inc. 保留所有权利。 Powered by tikuer.com

页面耗时0.0351秒, 内存占用1.04 MB, Cache:redis,访问数据库19次