设总体X服从参数λ的指数分布,X1,X2,…,Xn是从中抽取的样本,则E(X)为( )。

作者: tihaiku 人气: - 评论: 0
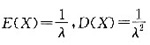
问题 设总体X服从参数λ的指数分布,X1,X2,…,Xn是从中抽取的样本,则E(X)为( )。
选项
答案 A
解析 由于x服从指数分布,即 所以

猜你喜欢

发表评论
更多 网友评论0 条评论)
暂无评论

Copyright © 2012-2014 恰考网 Inc. 保留所有权利。 Powered by tikuer.com

页面耗时0.0309秒, 内存占用1.04 MB, Cache:redis,访问数据库19次