某公司发行普通股筹资8000万元,筹资费率为3%,第一年股利率为10%,以后每年增长5%,所得税率为25%。则普通股资金成本为(  )。A、7.73% ...

作者: tihaiku 人气: - 评论: 0
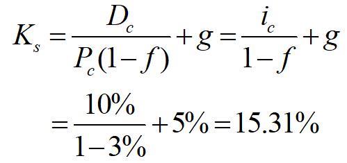
问题 某公司发行普通股筹资8000万元,筹资费率为3%,第一年股利率为10%,以后每年增长5%,所得税率为25%。则普通股资金成本为(  )。
选项 A、7.73% B、10.31% C、11.48% D、15.31%
答案 D
解析 根据固定股利增长模型法计算,该公司普通股的资金成本为: 式中:Ks为普通股成本率;Pc为普通股票面值;Dc为普通股预计年股利额;ic为普通股预计年股利率;g为普通股利年增长率;f为筹资费费率(即筹资费占筹集资金总额的比率)。

相关内容:公司,普通股,8000万元,费率,第一年,利率,增长,所得税率,资金,成本

猜你喜欢

发表评论
更多 网友评论0 条评论)
暂无评论

Copyright © 2012-2014 恰考网 Inc. 保留所有权利。 Powered by tikuer.com

页面耗时0.0304秒, 内存占用1.04 MB, Cache:redis,访问数据库17次